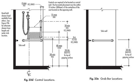
Larry Kirts Blog